朱克龙教授研究团队发表Nature Communications论文:新型氧硫杂分子带的合成及其主客体化学
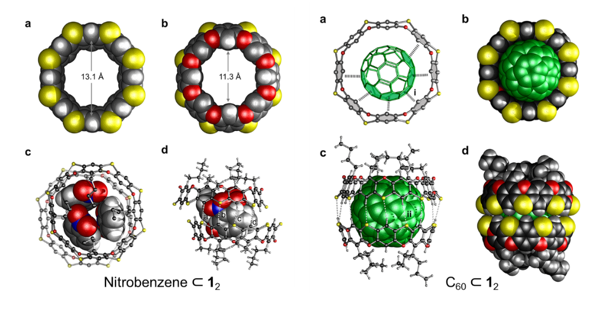
分子带的精准合成及其性质研究是目前有机及超分子化学研究领域最活跃的方向之一。作为碳纳米管及富勒烯的构筑片段,共轭的碳氢大环及分子带展示出独特的化学与物理性质,使其在新型光电材料、吸附分离及超分子识别与组装等方面具有重要应用价值。大环分子的合成极具挑战性,特别是高张力的带状大环,存在合成产率低、分离难、不易衍生化等问题,限制了进一步的应用与发展。杂原子(N,O,S等)的加入不仅可以实现大环结构单元的等电子替换,而且可以改变电子结构性质,进而影响其功能应用。尽管目前已有大量的理论计算研究,而通过杂原子双桥连接的方式构筑分子带却鲜有报导。基于此,304永利朱克龙教授和姜隆副教授合作,设计并合成了氧、硫原子双桥连的新型分子带[8]cyclophenoxathiin,利用氧硫杂蒽结构单元的动态可弯折性克服分子带合成的高张力问题;同时,通过氧、硫杂原子对大环分子带的电子结构的调控,实现其作为分子“容器”的功能应用。
为了精准地获得具有不同连接顺序和空腔性质的氧硫杂分子带,研究者采用了分步成环的控制合成策略,通过先成单桥大环,再桥连并环的方法,以较高的产率选择性地获得具有“碗状”和“筒状”的两种分子带。进一步研究表明碗状的分子带可通过多重C‒H···S氢键的作用,分子间二聚形成胶囊型的分子“容器”。该二聚体不仅可以包合硝基苯等溶剂分子,而且对C60等富勒烯分子具有极强的选择性络合能力,结合常数高达3.6×109 M‒2,展现出在富勒烯材料的提纯与分离方面的应用潜力。而筒状的分子带可与环型结构的[2,2]环蕃分子相结合,形成独特的“环套环”的超分子包合物。氧硫杂双桥联分子带的可控合成、多样结构及其丰富的主客体化学充分展示了杂原子掺杂分子带的魅力,也为分子带的设计和构筑提供了新的思路。
上述研究成果发表于Nature Communications杂志。该研究工作得到了国家自然科学基金、广东省珠江人才计划以及中山大学百人计划项目的大力支持。
Jialin Xie, Xia Li Shenghua Wang, Anquan Li, Long Jiang,Kelong Zhu, Nature communications, 2020, DOI:10.1038/s41467-020-17134-3.
论文链接:https://doi.org/10.1038/s41467-020-17134-3
